ماتریکس
.
وبلاگ
پست ها
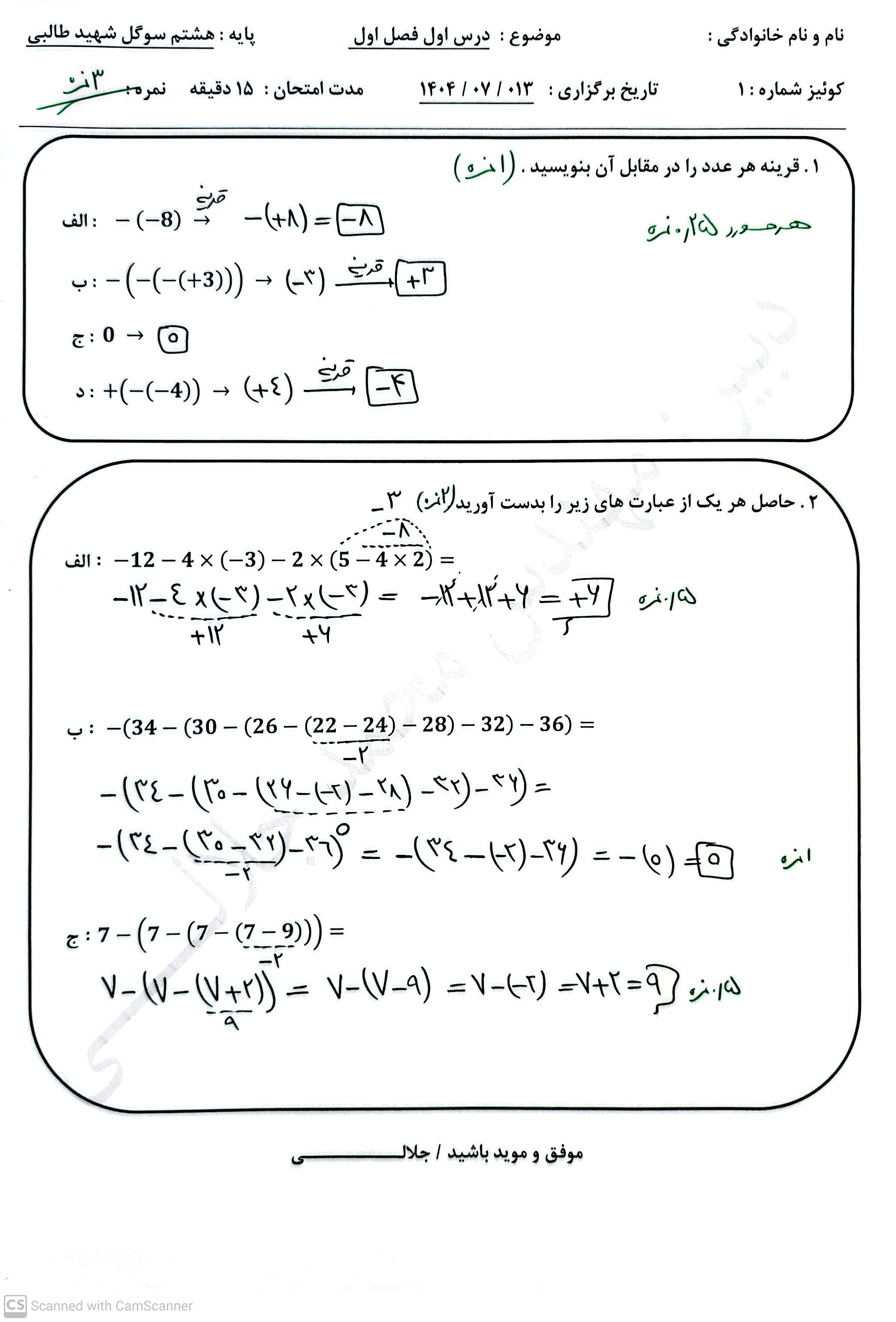
پاسخنامه کوئیز شماره 1 ریاضی هشتم سوگل شهید طالبی
پاسخنامه کوئیز شماره 1 ریاضی هشتم سوگل شهید طالبی
This for Your Work
Just Click it Now !
Go!
Lifestyle
پاسخنامه کوئیز شماره 1 ریاضی هشتم سوگل شهید طالبی
Admin
اکتبر 20, 2025, 6:08 ب.ظ.
10 Comments
ریاضی
,
Facebook
,
Twitter
0 comments
Recent Posts
Tag Clouds
test
ریاضی
0 comments