ماتریکس
.
وبلاگ
پست ها
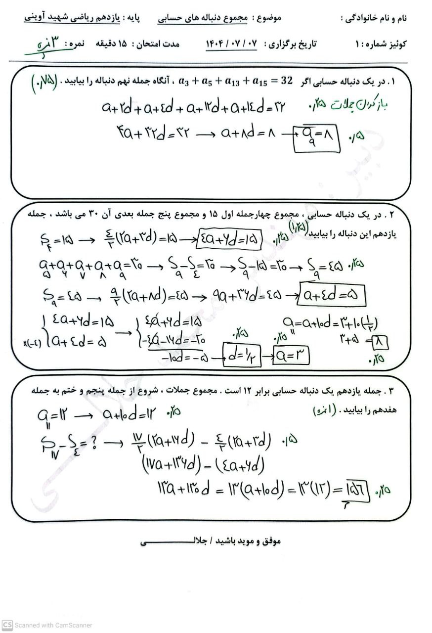
کوئیز شماره ۱ یازدهم ریاضی ( حسابان ۱ )
کوئیز شماره ۱ یازدهم ریاضی ( حسابان ۱ )
This for Your Work
Just Click it Now !
Go!
Lifestyle
کوئیز شماره ۱ یازدهم ریاضی ( حسابان ۱ )
Admin
اکتبر 18, 2025, 9:22 ب.ظ.
10 Comments
ریاضی
,
Facebook
,
Twitter
0 comments
Recent Posts
Tag Clouds
test
ریاضی
0 comments